Débimètre Bosch HFM

Date: 2025-08-13

Tags: hardware élec teardown auto

J’avais trouvé un débimètre en état inconnu dans la poubelle d’un garage un peu particulier1. Il vient d’une voiture Volkswagen avec la version BKD du moteur 2L TDI (Pumpe-Düse, DOHC, 140 ch).

Description

Le débimètre est placé juste après le filtre à air, et mesure le débit massique d’air absorbé par le moteur.

Débimètre monté sur un moteur Diesel

Cette mesure de débit d’air permet d’ajuster précisément la quantité de carburant injectée, pour s’adapter à différentes conditions de fonctionnement. Avec un moteur Diesel, l’utilité principale est d’éviter d’injecter plus de carburant que nécessaire pendant les phases transitoires, quand le turbo ne fournit pas encore la pression nominale, et ainsi d’éviter de polluer inutilement.

Ce type de capteurs est parfois aussi monté sur des moteurs à essence.

Documentation

D’après les documentations de Bosch23, la référence 0 281 006 759 est un modèle aftermarket. Il utilise un capteur HFM-7R5, avec traitement de signal numérique et une sortie analogique compatible avec les versions HFM-5 analogiques, plus anciennes.

On peut en voir plusieurs choses intéressantes :

Débimètre à film chaud MEMS

Teardown

C’est un cylindre creux de 80mm de diamètre et 110mm de long, avec un guide venturi de 35mm de diamètre.

Débimètre Bosch HFM

Les vis Pentalobe ne suffisent pas à nous empêcher d’accéder au capteur.

Vis pentalobe
Capteur Bosch HFM

Test

La documentation d’un autre débimètre HFM-5 donne le brochage du connecteur.

Brochage Bosch HFM-5
  1. Capteur de température (non-présent)
  2. +12V, alimentation
  3. GND
  4. +5V, référence
  5. Signal

On va construire un banc de test, avec un ventilateur qui force un flux d’air dans le débimètre, à travers un guide en carton.

Test de débimètre

Si on regarde les spécifications du ventilateur4, on peut remarquer 4.84~5.38 m³/min dans des conditions nominales, qui correspondent à 334~371 kg/h.

Le moteur VW BKD est un moteur Diesel à 4 temps, qui aspire idéalement un volume d’air correspondant à la moitié de sa cylindrée à chaque rotation. Il y a aussi un turbo qui fournit une pression de 1 bar, ce qui correspond à un volume d’air deux fois plus élevé qu’à la pression atmosphérique. Ce moteur a un régime maximal de 5’000 rpm.

Qm=Displacementrev2(PAtm+PBoost)DAir Q_m = Displacement \cdot \frac{rev}{2} \cdot (P_{Atm} + P_{Boost}) \cdot D_{Air}

Qm=2103m3125000RPM60min/h(1+1)bar1.15kg/m3 Q_m = 2 \cdot 10^{-3} m^3 \cdot \frac{1}{2} \cdot 5'000 RPM \cdot 60 min/h \cdot (1 + 1) bar \cdot 1.15 kg/m^3

Qm=690kg/h Q_m = 690 kg/h

Les ordres de grandeur correspondent : la pleine échelle du capteur est de 850 kg/h, et notre ventilateur devrait fournir autour de 350 kg/h.

Fonctionnement

On commence par clipser le débimètre et le ventilateur dans le guide en carton pour observer ce que le capteur revoie.

On lit 0.99 V avec le ventilateur arrêté, et 2.54 V avec le ventilateur tournant.

Le capteur et le système fonctionnent, on peut vérifier l’absence de fuites et tester différentes configurations.

On remarque que les valeurs mesurées sont instables et que le ventilateur consomme plus lorsqu’il souffle à travers le capteur plutôt que lorsque il aspire. Il est possible qu’il y ait des turbulences. La configuration typique aspire de l’air à travers le capteur, dans un long conduit qui évite les turbulences.

Mesure du ventilateur

Le ventilateur est placé dans un conduit qui résiste à l’air, on ne peut pas utiliser les valeurs nominales données par le constructeur5. On va aussi faire varier la vitesse du ventilateur, or la relation entre le débit et la vitesse n’est pas linéaire, ce qui rend les mesures indispensables.

On mesure la durée nécessaire au remplissage d’un sac étanche de volume connu pour en déduire le débit du ventilateur.

Ventilateur Delta FFB1212EHE, débit vs RPM

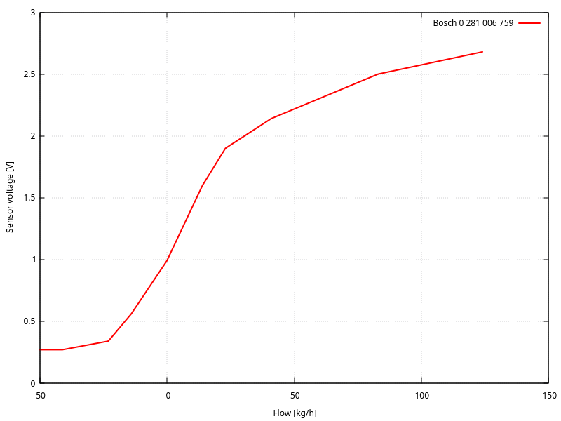
Mesure du débimètre

Le ventilateur est calibré, il ne reste plus qu’à noter les valeurs mesurées par le capteur :

Débimètre Bosch 0 281 006 759, tension vs débit

La forme de la courbe correspond à celles données par tous les types de capteurs Bosch HFM-56.

Résultats

D’autres personnes ont déjà produit ce type d’expériences7 pour corréler des capteurs entre eux, et ils utilisent aussi un capteur Bosch 0 281 006 759.

Mes mesures correspondent partiellement, je pense que ma mesure de débit du ventilateur est perfectible.

Compatibilité

Plusieurs capteurs semblent compatibles entre eux, d’après les sites de vente de pièces de voitures :

Références


  1. Autohobbywerkstatt München West↩︎

  2. Air Mass Meters - Bosch aftermarket↩︎

  3. Bosch Automotive Handbook 11th edition, ISBN 978-1-119-91190-6, pages 1’746-1’749↩︎

  4. Delta FFB1212EHE-F00 - Datasheet↩︎

  5. Delta FFB1212EHE-F00 - Datasheet↩︎

  6. Bosch senors, pages 56-57↩︎

  7. Anaysis of the characteristics of automotive airflow sensors - Journal scientific and applied research, vol. 27, 2024↩︎

  8. Bosch senors, pages 56-57↩︎

Electronics Électronique puissance semiconducteur semiconductors power Hardware CPE INSA Xavier Bourgeois

Xavier